Study links human activities to increased non-diatom carbon burial in the Changjiang River Estuary

2025-09-29
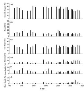
Temporal Changes in Phytolith Composition in Core A6-6 from the Changjiang River Estuary.

image: 

(a) Smooth elongate; (b) Cap-shaped; (c) Fan-shaped; (d) Dumbbell-shaped; (e) Long saddle; (f) Short saddle. The notation "%" indicates the proportion relative to total particles. Smooth elongate phytoliths dominate the assemblage. Dam-induced reduction in riverine sediment transport significantly altered the composition of phytoliths in the river-estuary system, leading to a relative decrease in phytolith deposition compared to diatoms in the estuary. Over the past 60 years, phytoliths in the sediments of the Changjiang River Estuary have exhibited an overall trend of "decreasing abundance but stable dominant types". This change primarily reflects the decline in terrestrial material input due to human activities (damming), while also recording information on climate change within the watershed.

view more 

Credit: ©Science China Press

This study was led by Ran Xiangbin and Dr. Wang Hao from the First Institute of Oceanography, Ministry of Natural Resources. Based on sediment core analysis from the Changjiang River Estuary, a research team has systematically uncovered how carbon and silicon burial have evolved over the past 160 years, highlighting the critical role of human intervention and natural cycles. The findings show that burial fluxes and the composition of both elements have varied significantly, following a recurring 60-year cycle.

Since the 1960s, the decline in the Changjiang’s suspended sediment flux has led to lower sedimentation rates, directly impacting how efficiently carbon and silicon are buried. Human activities—especially dam construction and changes in land use—have not only reduced the delivery of terrestrial organic matter and biogenic silica to the estuary but also increased water clarity, promoting algal growth and altering the balance between diatom and non-diatom sources of carbon in the sediment.

Using stable carbon isotope analysis (δ¹³C), the team developed a new method to quantify contributions from non-diatom carbon. Results show that its burial proportion has risen by 9% on average over the past two decades, a change closely associated with estuarine eutrophication and shifts in nutrient regimes that favor certain types of phytoplankton.

The study also notes a conspicuous decline in phytoliths—a key component of land-derived biogenic silica—from 64% historically to 43% in recent years, largely due to sediment trapping behind dams. At the same time, organic carbon trapped within biogenic silica showed more negative δ¹³C values than bulk sedimentary organic carbon, suggesting it is better preserved against degradation.

In addition, the research highlights periodic shifts in the source of biogenic silica—alternating between terrestrial and marine origins—indicating that both natural climate rhythms and human influences play important roles. These insights provide a deeper understanding of carbon-silicon cycling in major estuaries and may help predict future ecological changes under continued environmental pressure.

See the article:

Ran X, Wang H. 2025. Changes in carbon and silica burial in a river-dominated estuary. Science China Earth Sciences, 68(9): 2891–2903, https://doi.org/10.1007/s11430-024-1582-8